"Loading..."

홍보/뉴스

배너광고

한돈뉴스

게시물 상세보기로 제목, 작성일, 작성자, 첨부파일, 내용을 제공합니다.

장내 유해 세균을 제어하는 효과가 있는 유산균을 찾았다

작성일 2020-11-26 작성자 관리자

100


장내 유해 세균을 제어하는 효과가 있는 유산균을 찾았다


국립낙동강생물자원관, 동물의 장내 유해세균을 제어하는 락토바실러스 유산균 2종 발굴...기능성 생균제 개발에 활용 기대


소비자들의 축산 항생제 사용에 대한 우려가 커질수록 이를 대신할 수 있는 미생물에 대한 관심이 커지고 있습니다. 관련해 흥미로운 소식이 있어 전합니다.
 

▲ 락토바실러스 파라부크네리 NSMJ16와 락토바실러스 브레비스 NSMJ23@국립낙동강생물자원관 


환경부 산하 국립낙동강생물자원관(관장 서민환)은 축산동물의 장내 유해 세균을 제어하는 락토바실러스 유산균 2종을 최근 발견했다고 밝혔습니다. 
 
국립낙동강생물자원관 연구진은 '19년부터 최근까지 생균제로 활용 가능한 미생물을 발굴하기 위해 경북지역에서 생산되는 전통 막걸리, 발효 사료 등에서 유산균 5종을 선별하고, 미생물 군집 분석을 통해 축산동물 장내 미생물 군집 조절능을 분석했습니다. 

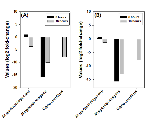
▲ 마이크로바이옴 분석을 통한 장내 유해 세균 제어 효과. (A)락토바실러스 파라부크네리 NSMJ16(와 (B)락토바실러스 브레비스 NSMJ23@국립낙동강생물지원관


연구진은 분리한 유산균을 축산동물 분변 유래 장내미생물에 처리하여 미생물 군집 변화를 분석하였습니다. 그 결과, ‘락토바실러스 파라부크네리 NSMJ16(Lactobacillus parabuchneri NSMJ16)’와 ‘락토바실러스 브레비스 NSMJ23(Lactobacillus brevis NSMJ23)’ 균주가 에스케리치아 퍼구스니(Escherichia fergusonii)와 모르가넬라 모르가니(Morganella morganii)’등과 같은 항생제 내성균이자 유해세균을 제어할 수 있는 것을 확인했습니다.
 
국립낙동강생물자원관 연구진은 이번에 발견된 균주의 장내 유해 세균을 억제한다는 내용으로 올해 9월에 특허를 출원했습니다(출원번호: 10-2020-0123696). 
 
국립낙동강생물자원관 미생물연구실 정상철 실장은 “유용성 보유 유산균 발굴을 통해 사료첨가제용 기능성 생균제 개발을 위한 가능성을 확보하였다는데 의의가 있으며 산업 소재로의 활용 연구를 계속 진행하겠다”고 말했습니다.


[출처: 돼지와사람 2020. 11. 26.]

목록
다음게시물 축단협, 축산현안 해결 정치권 관심 호소
이전게시물 축산농가 경영안정 ‘디지털 전환·축산기업 적절한 규제’ 필요
전화걸기